禁忌书屋

公示公告

2019年博士定向招考资格审核通过名单公示

时间:2018-12-19作者: 审核: 来源:经济管理学院点击:2544

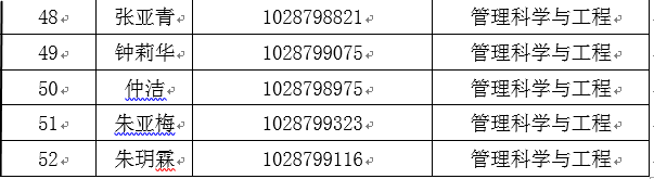
经过学院对材料审查,以下同学通过定向招考资格审核:

禁忌书屋

2018.12.19


学院地址:江苏省南京市江宁区将军大道29号

邮政编码:211106

版权所有:禁忌书屋-禁忌书屋18禁成人小说合集 ALL RIGHTS RESERVED 苏ICP备05070685号